Strategy & Finance Committee
|
Vaughan Dennison (Chair) |
|
|
Karen Naylor (Deputy Chair) |
|
|
Grant Smith (The Mayor) |
|
|
Mark Arnott |
Lorna Johnson |
|
Brent Barrett |
Orphée Mickalad |
|
Lew Findlay (QSM) |
William Wood |
|
Patrick Handcock (ONZM) |
Kaydee Zabelin |
|
Leonie Hapeta |
|
Strategy & Finance Committee MEETING
20 August 2025
Order of Business
2. Apologies
3. Notification of Additional Items
Pursuant to Sections 46A(7) and 46A(7A) of the Local Government Official Information and Meetings Act 1987, to receive the Chairperson’s explanation that specified item(s), which do not appear on the Agenda of this meeting and/or the meeting to be held with the public excluded, will be discussed.
Any additions in accordance with Section 46A(7) must be approved by resolution with an explanation as to why they cannot be delayed until a future meeting.
Any additions in accordance with Section 46A(7A) may be received or referred to a subsequent meeting for further discussion. No resolution, decision or recommendation can be made in respect of a minor item.
4. Declarations of Interest (if any)
Members are reminded of their duty to give a general notice of any interest of items to be considered on this agenda and the need to declare these interests.
To receive comments from members of the public on matters specified on this Agenda or, if time permits, on other Committee matters.
6. Hearing of Submissions - Proposed Linklater Reserve dogs on-leash area Page 7
7. Summary of Submissions - Proposed Linklater Reserve dogs on-leash area Page 13
Memorandum, presented by Stacey Solomon, Policy Analyst.
8. Confirmation of Minutes Page 23
That the minutes of the Strategy & Finance Committee meeting of 28 May 2025 Part I Public be confirmed as a true and correct record.
9. Quarterly Performance and Financial Report – period ending 30 June 2025 Page 29
Memorandum, presented by Scott Mancer, Manager - Finance; John Aitken, Manager - Project Management Office; Grace Nock, Manager - Organisational Planning and Performance.
10. Treasury Report - Twelve months ending 30 June 2025 Page 117
Memorandum, presented by Steve Paterson, Manager - Financial Strategy.
11. Draft Waste Management and Minimisation Bylaw 2025 - deliberations on submissions Page 131
Memorandum, presented by Peter Ridge, Acting Manager Strategy and Policy.
12. Draft Speed Management Plan 2025 - Approval for Consultation Page 201
Report, presented by Peter Ridge, Acting Manager Strategy and Policy.
13. Committee Work Schedule Page 255
14. Karakia Whakamutunga
15. Exclusion of Public
|
|
To be moved: That the public be excluded from the following parts of the proceedings of this meeting listed in the table below. The general subject of each matter to be considered while the public is excluded, the reason for passing this resolution in relation to each matter, and the specific grounds under Section 48(1) of the Local Government Official Information and Meetings Act 1987 for the passing of this resolution are as follows:
This resolution is made in reliance on Section 48(1)(a) of the Local Government Official Information and Meetings Act 1987 and the particular interest or interests protected by Section 6 or Section 7 of that Act which would be prejudiced by the holding of the whole or the relevant part of the proceedings of the meeting in public as stated in the above table. Also that the persons listed below be permitted to remain after the public has been excluded for the reasons stated. [Add Third Parties], because of their knowledge and ability to assist the meeting in speaking to their report/s [or other matters as specified] and answering questions, noting that such person/s will be present at the meeting only for the items that relate to their respective report/s [or matters as specified].
|
||||||||||||||||

TO: Strategy & Finance Committee
MEETING DATE: 20 August 2025
TITLE: Hearing of Submissions - Proposed Linklater Reserve dogs on-leash area
RECOMMENDATION(S) TO Strategy & Finance Committee
1. That the Committee receive the submissions and hear submissions from presenters who indicated their wish to be heard in support of their submission.
2. That the Committee note the Procedure for Hearing of Submissions, as described in the procedure sheet.
Submitters wishing to be heard in support of their submission
(link to submissions: www.pncc.govt.nz/linklater)
|
Submission No. |
Submitter |
|
1 |
Gillian McIntyre |
|
40 |
Geoff Anderson |
|
76 |
Rebecca Culver |
|
98 |
Larissa Rzoska |
|
104 |
Richard Isaacs |
|
105 |
Elizabeth Schaw |
|
167 |
Daniel Matthews |
|
566 |
Kevin Low |
|
224 |
Luis Ferrara |
|
261 |
Māmā Mini’s |
|
262 |
Kate Argyle |
|
263 |
K9 Capability |
|
358 |
Maria Reiche |
|
416 |
Ewen Cameron |
|
436 |
Rose Byrnes |
|
479 |
Cam Horgan |
|
491 |
Gillian Evans |
|
498 |
Leslie Baker |
|
520 |
John Hornblow |
|
628 |
Kirsty Ward |
|
658 |
Theresa Yates |
|
663 |
Carol Shaw |
|
709 |
Sarah Parkinson |
|
714 |
Helen Dollery |
|
818 |
Victoria Liddicoat |
|
761 |
Florence Wilkey |
|
766 |
Maurice Job |
|
861 |
Kelvin Grove Community Association |
|
863 |
Lynette Baker |
|
879 |
Katherine Reedy |
|
883 |
Kim Penny |
|
922 |
Simon Thorpe |
|
923 |
Kathryn Dixon |
|
925 |
Valerie Burr |
|
960 |
Judith Lacy |
|
215 |
Shania Palmer |
|
422 |
Ollie Green |
|
450 |
Sally Doherty |
|
502 |
Shane Price |
|
575 |
Beth Weir |
|
735 |
Sonya Coutts |
|
788 |
Don Falconer |
|
815 |
Cheryl Palmer |
|
845 |
C Sang |
|
850 |
Emma Tremaine |
|
451 |
Megan Wilson |
|
572 |
Kaele Andrew |
|
930 |
Kathryn Knightbridge |
|
1. |
Procedure
Sheet ⇩ |
|

TO: Strategy & Finance Committee
MEETING DATE: 20 August 2025
TITLE: Summary of Submissions - Proposed Linklater Reserve dogs on-leash area
Presented By: Stacey Solomon, Policy Analyst
APPROVED BY: David Murphy, General Manager Strategic Planning
RECOMMENDATION(S) TO Strategy & Finance Committee
1. That the Committee receive the memorandum titled ‘Summary of Submissions - Proposed Linklater Reserve dogs on-leash area’, presented to the Strategy & Finance Committee on 20 August 2025.
1. ISSUE
1.1 The Council has consulted on its proposal to make an area of Linklater Reserve restricted to ‘dogs on-leash’. Currently all of the Reserve is an off-leash exercise area for dogs, apart from the children’s play spaces and play equipment, which is prohibited to dogs entirely.
1.2 The Council received 967 submissions through consultation, with a significant majority of submitters not supporting the proposal. Table 1 shows the overall submission response:
|
Submission response |
Count |
|
Support the proposal: |
136 [14%] |
|
Do not support the proposal: |
797 [82%] |
|
Are not sure / have no preference: |
16 [1.6%] |
|
Did not state / it is not clear for staff to determine a preference: |
18 [0.7%] |
|
Total submissions |
967 |
|
NOTE: three of the submissions the Council received were: |
|
|
A petition from Elizabeth Schaw which does not support the proposal (submission 901) |
126 signatures |
|
Collated submissions from Year 3 students at Cornerstone Christian School (submission 902 – noted as ‘group one’ in the Committee agenda) |
21 mixed responses |
|
Collated submissions from Year 3 students at Cornerstone Christian School (submission 951 – noted as ‘group two’ in the Committee agenda) |
15 mixed responses |
Table 1: Overall submission response
1.3 All original submissions are included in the 20 August 2025 agenda of the Strategy & Finance Committee.
1.4 This memorandum provides a high-level summary of themes from submissions received. Detailed analysis of submissions will be provided at a later date to assist the Council with its deliberations.
2. BACKGROUND
2.1 In May 2025, the Strategy & Finance Committee received a petition from the Kelvin Grove Community Association (KGCA) to make part of Linklater Reserve a dogs on-leash area. The petition of the KGCA had 64 signatories, and requested the Council make the area of the Reserve from the Kelvin Grove Road carpark to the aeroplane restricted to ‘dogs on-leash’. The KGCA stated through its petition:
“As users of Linklater Reserve, we petition that PN City Council designate the southern half of the reserve as an on-leash dog area and support our Community Association’s submission to this effect.
Currently, the entire park is off-leash. This unfairly denies enjoyment of the park to anyone afraid of dogs running free, and to dog owners worried their pet may be attacked by a poorly controlled off-leash dog.
Multiple instances of people and dogs being attacked at Linklater by uncontrolled dogs show the current policy of ‘encouragement and education’ doesn’t work.
Dividing the reserve into separate off-leash and on-leash areas effectively protects the rights of all users and better reflects the original purpose of the reserve, which was ‘a place for the enjoyment of all’.
We urge PN City Council to implement this common-sense measure so everyone can use the park without fear of intimidation or injury.”
2.2 Following early engagement with the community about how they use the space, and having considered the petition of the KGCA, the Committee resolved to consult on a proposal to make the area from the Kelvin Grove Road carpark up to the aeroplane in the middle of the Linklater Reserve, a dogs on-leash area. The proposal would leave around half of the Reserve an off-leash exercise area for dogs. Figure 1 (below) describes the proposal, with the off-leash area noted in blue, and the proposed on-leash area in yellow.

Figure 1: Proposed Linklater Reserve dogs on-leash area
3. Consultation Response
3.1 Consultation occurred between 27 June 2025 and 28 July 2025, with a number of submitters indicating their preference to speak to the Committee in support of their submissions.
Submission themes
3.2 The most common submission themes from those who do not support the proposal are:
a. Linklater Reserve is a dog park. It is meant for dogs to be exercised off-leash and is one of the few spaces in the city where this can be done.
b. If people do not want to encounter dogs, particularly off-leash dogs, they should use one of the many other on-leash or dog-free reserves in the city.
c. The Council is not listening to the majority of people.
d. While the proposal is generally not supported, if it is to proceed and an area of the Reserve must be made on-leash, it should be the area between the Kelvin Grove Road carpark and the pine trees, by the BMX track.
3.3 The most common submission themes from those who do support the proposal are:
a. I will feel safer at the Reserve and am more likely to use it if there is an on-leash area.
b. Because of a previous bad experience at the Reserve, I prefer an on-leash area (aggressive dog / aggressive dog owner / dog attack).
c. The proposal is a good balance between different uses of the Reserve.
3.4 Submissions generally fell into the following categories, and often included more than one theme. Themes with an asterisk were most commonly recurring within the broader category, shown in Table 2 (below).
|
Category |
Theme includes |
|
Safety |
* As a frequent user, I have never experienced /witnessed an issue with a dog (such as an aggressive dog, or dog attack) Because of a previous bad experience at the Reserve, I prefer an on-leash area (aggressive dog / aggressive dog owner / dog attack) Dogs can pose safety risks for children and other people I have concerns around dogs’ safety Putting more off-leash dogs in a smaller area will create a safety issue This will make the Reserve safer for me to use |
|
Community, accessibility and socialisation |
*Linklater is a good place for people and dogs to socialise and exercise *There are going to be accessibility issues for people with reduced mobility from the Kelvin Grove carpark to the proposed off-leash area (older persons, young children, parents with a dog as well as children and / or a stroller) I support the proposal because it is a fair / balanced solution My dog loves to go to this park The proposal will make it hard for us to use the Reserve It is one of the few places where I can take my young family, and have my dog off-leash (it’s a family-friendly dog exercise area) |
|
Decision-making |
*The Council is not listening to the majority *A small number of people are asking for this change The Council is putting in too much ‘red tape’ There is no problem at Linklater Reserve, so no changes need to be made to the off-leash controls Unnecessary costs associated with the proposal / stop wasting ratepayer money |
|
The purpose of Linklater Reserve |
*It’s a dog park / it was always intended to be a dog park due to: o Size for off-leash exercise o Fence o Design (including amenities like dog agility equipment, dog wash-down) o Ease of visibility of dog/s *Linklater is unique, it is the only dedicated or fenced dog area in the city *There are other places that people can go if they don’t want to encounter dogs / off-leash dogs Most people at the Reserve are with a dog that they want to exercise off-leash I go to the Reserve specifically because it is off-leash / my dog wants to exercise off-leash Linklater is one of the few off-leash spaces in the city People will use the Reserve less if it is made on-leash / the Reserve will be under-utilised There are no other good alternative off-leash areas in the city: o Ahimate is not a good alternative o The River Walkway is not a good alternative o Linklater Reserve is valuable to the dog-owning community The Reserve is for everyone, not just dog owners and dogs The proposal is a good balance between different uses of the Reserve The proposal would be disruptive to disc-golfers We pay dog registration fees to have access to this |
|
Responsible dog ownership |
*Most dog owners are responsible dog owners / don’t punish good dog owners Most dogs are well behaved and are under control People should just be responsible dog owners / dog owners need to be more responsible Off-leash dogs at the Reserve are not causing the current issues, it is the on-leash dogs causing issues |
|
Alternative proposals and other suggested solutions |
*The reduction in off-leash space is too much *The dog agility area needs to be off-leash *The wetlands area should be off-leash *Prefer that the on-leash end at the first row of pine trees/bike track If you reduce the off-leash space at the Reserve, you will need to make more off-leash areas around the city o Medium density housing will make off-leash space more important for the community o The off-leash space is valuable to renters who may not have large backyards Prefer that the on-leash includes only the playground, toilet and barbeque area ending at the gully Council should just move the aeroplane to be near the other play equipment, then the on-leash area does not need to be so large Fence all the playground equipment, or remove the playground equipment completely instead of making the area on-leash Consider CCTV, or a greater presence of Animal Management Officers instead of changing the rules Make an area for small dogs, and an area for large dogs You could make specific areas on-leash only at certain times of the day |
|
Implementation of the proposal |
*I am sceptical about level of compliance if the proposal goes ahead (people are not going to follow new rules if they don’t follow the current rules) Instead of changing the rules, provide more education and enforcement As well as changing the rules, provide more education and enforcement If the proposal goes ahead, there needs to be more parking at the Roberts Line carpark, and it needs to be made safer The proposed off-leash area would need to be developed more so it has the same amenity as the proposed on-leash area (seating, drainage, walkways, carparks, rubbish bins, etc.) |
Table 2: Submission themes
3.5 Detailed themes and unique suggestions will be clearly noted in analysis and advice in response to the submissions which will be provided to the Committee for deliberations at a later meeting.
Demographic information
In addition to questions about whether and why respondents did or did not support the proposal which is summarised in Sections 1 and 3 of this memorandum, submitters were also asked basic demographic questions in the hardcopy and online submission forms (those who made a submission in a different way, such as via email, may not have provided answers for these questions). Responses to the demographic questions are shown in Tables 3-5 (below).
|
Are you a Linklater Reserve user? |
|
|
Yes |
910 [94%] |
|
No |
22 [2.1%] |
|
Prefer not to say |
20 [2%] |
|
Did not state / it is unclear for staff to determine |
15 [1.5%] |
Table 3: Respondents that use the Reserve
|
Are you a dog owner? |
|
|
Yes, I am a dog owner |
780 [80%] |
|
No, I am not a dog owner |
142 [14.5%] |
|
Prefer not to say |
25 [2.5%] |
|
Did not state / it is unclear for staff to determine |
20 [2%] |
Table 4: Dog ownership of respondents
|
Are you a Kelvin Grove Local? |
|
|
Yes |
270 [27%] |
|
Not Kelvin Grove, but I am Palmy local |
552 [57%] |
|
I like to travel to Palmy to use the Reserve |
119 [12.3%] |
|
Did not state / it is unclear for staff to determine |
26 [2.6%] |
Table 5: Location of respondents
Consultation methods
3.6 A range of different engagement tactics and methods were used to encourage people to have their say, including: social media, direct notification, radio, website information, letterbox drops, signage at Linklater Reserve, information on the Council website, and community drop-ins where people could talk to staff about the proposal. Detailed information about consultation and engagement tactics and methods will be provided in the next report related to this proposal.
4. NEXT STEPS
4.1 Detailed submission analysis, including social media comments, and recommendations based on the consultation response will be provided to the Council at a meeting later this year.
5. Compliance and administration
|
Does the Committee have delegated authority to decide? |
Yes |
|
|
Are the decisions significant? |
No |
|
|
If they are significant do they affect land or a body of water? |
No |
|
|
Can this decision only be made through a 10 Year Plan? |
No |
|
|
Does this decision require consultation through the Special Consultative procedure? |
No |
|
|
Is there funding in the current Annual Plan for these objectives? |
Yes |
|
|
Are the recommendations inconsistent with any of Council’s policies or plans? |
No |
|
|
The recommendations contribute to: Whāinga 3: He
hapori tūhonohono, he hapori haumaru |
||
|
The recommendations contribute to this plan: 9. Mahere haumaru hapori, hauora hapori 9. Community Safety and Health Plan |
||
|
Contribution to strategic direction and to social, economic, environmental and cultural well-being |
The Community Safety and Health Plan describes Council’s commitment to the delivery of information, education and enforcement of regulatory policy, including the Dog Control Policy and Bylaw. |
|
Nil

Minutes of the Strategy & Finance Committee Meeting Part I Public, held in the Council Chamber, First Floor, Civic Administration Building, 32 The Square, Palmerston North on 28 May 2025, commencing at 9.02am.
|
Members Present: |
Councillor Vaughan Dennison (in the Chair), The Mayor (Grant Smith) and Councillors Karen Naylor, Mark Arnott, Brent Barrett, Lew Findlay, Patrick Handcock, Leonie Hapeta, Lorna Johnson, Orphée Mickalad, William Wood and Kaydee Zabelin. |
|
Non Members: |
Councillor Billy Meehan. |
|
Apologies: |
Councillor Leonie Hapeta and Councillor Lew Findlay (early departure). |
Councillors Mark Arnott and Orphée Mickalad left the meeting at 11.22am. They were present when the confidential part of the meeting started at 11.24am. They were not present for clause 23.
|
|
Karakia Timatanga |
|
|
Councillor Kaydee Zabelin opened the meeting with karakia. |
|
14-25 |
Apologies |
|
|
Moved Vaughan Dennison, seconded Karen Naylor. The COMMITTEE RESOLVED 1. That the Committee receive the apologies. |
|
|
Clause 14-25 above was carried 12 votes to 0, the voting being as follows: For: The Mayor (Grant Smith) and Councillors Vaughan Dennison, Karen Naylor, Mark Arnott, Brent Barrett, Lew Findlay, Patrick Handcock, Lorna Johnson, Orphée Mickalad, William Wood, Kaydee Zabelin and Billy Meehan. |
|
15-25 |
38 Featherston Street - Proposal to grant lease of Council land to Manawatū Woodworkers Guild Incorporated Memorandum, presented by Glenn Bunny, Manager Property. |
|
|
Moved Vaughan Dennison, seconded Karen Naylor. The COMMITTEE RESOLVED 1. That the Committee grant a lease to Manawatū Woodworkers Guild Incorporated for the land at 38 Featherston Street, Palmerston North, described as Part Lot 13 DP2938 and Lot 2 DP605123; in accordance with Council’s Support and Funding Policy and Section 54 of the Reserves Act 1977. |
|
|
Clause 15-25 above was carried 12 votes to 0, the voting being as follows: For: The Mayor (Grant Smith) and Councillors Vaughan Dennison, Karen Naylor, Mark Arnott, Brent Barrett, Lew Findlay, Patrick Handcock, Lorna Johnson, Orphée Mickalad, William Wood, Kaydee Zabelin and Billy Meehan. |
|
16-25 |
53 Totara Road - Proposal to grant lease of Council land to Manawatū Racing Pigeon Club Incorporated Memorandum, presented by Glenn Bunny, Manager Property. |
|
|
Moved Vaughan Dennison, seconded Karen Naylor. The COMMITTEE RESOLVED 1. That the Committee grant a lease to Manawatū Racing Pigeon Club Incorporated for the land at 53 Totara Road, Palmerston North, described as Part Lot 2 DP 2003; in accordance with Council’s Support and Funding Policy. |
|
|
Clause 16-25 above was carried 12 votes to 0, the voting being as follows: For: The Mayor (Grant Smith) and Councillors Vaughan Dennison, Karen Naylor, Mark Arnott, Brent Barrett, Lew Findlay, Patrick Handcock, Lorna Johnson, Orphée Mickalad, William Wood, Kaydee Zabelin and Billy Meehan. |
|
17-25 |
Variable Speed Limits for schools - confirmation of scope for draft Speed Management Plan Memorandum, presented by Peter Ridge, Senior Policy Analyst and James Miguel, Senior Transport Planner. Officers advised increasing the scope to include an intersection speed zone (ISZ) for Longburn-Rongotea Road/No. 1 Line to the recommendation, after receiving confirmation that the New Zealand Transport Agency would contribute funding to install a ISZ at this site. |
|
|
Moved Vaughan Dennison, seconded Karen Naylor. The COMMITTEE RECOMMENDS 1. That Council confirm that the scope of the draft Speed Management Plan 2025 (stage 1) will include: · variable speed limits for all schools within Palmerston North; and · Te Wanaka Road/SH56 intersection; and · An intersection speed zone (ISZ) for Longburn-Rongotea Road/No. 1 Line. |
|
|
Clause 17-25 above was carried 12 votes to 0, the voting being as follows: For: The Mayor (Grant Smith) and Councillors Vaughan Dennison, Karen Naylor, Mark Arnott, Brent Barrett, Lew Findlay, Patrick Handcock, Lorna Johnson, Orphée Mickalad, William Wood, Kaydee Zabelin and Billy Meehan.
|
|
|
Moved Brent Barrett, seconded Grant Smith. |
|
|
Note: On a motion: ‘that the scope of stage one of the Speed Management Plan include the City Centre’, the motion was tied 6 votes to 6. The chairperson declared the motion lost, the voting being as follows: For: The Mayor (Grant Smith) and Councillors Brent Barrett, Lew Findlay, Patrick Handcock, Lorna Johnson and Kaydee Zabelin. Against: Councillors Vaughan Dennison, Karen Naylor, Mark Arnott, Orphée Mickalad, William Wood and Billy Meehan. |
The Chair withdrew Item 6 Hearing of Submissions - Bill Brown Park Proposed Land Lease to Kia Toa Rugby Football Club Incorporated, as no submitters had attended.
|
18-25 |
Summary of Submissions - Bill Brown Park Proposed Land Lease to Kia Toa Rugby Football Club Incorporated Memorandum, presented by Glenn Bunny, Manager Property, and Sharron Bergerson, Property Financial Officer. Officers corrected an error in paragraph 3.2 of the report. The number of submissions in support and in opposition should read 306 in support and 9 against. |
|
|
Moved Vaughan Dennison, seconded Karen Naylor. The COMMITTEE RESOLVED 1. That the Committee receive the memorandum titled ‘Summary of Submissions – Bill Brown Park Proposed Land Lease to Kia Toa Rugby Football Club Incorporated’ presented on 28 May 2025. |
|
|
Clause 18-25 above was carried 12 votes to 0, the voting being as follows: For: The Mayor (Grant Smith) and Councillors Vaughan Dennison, Karen Naylor, Mark Arnott, Brent Barrett, Lew Findlay, Patrick Handcock, Lorna Johnson, Orphée Mickalad, William Wood, Kaydee Zabelin and Billy Meehan. |
|
19-25 |
Confirmation of Minutes |
|
|
Moved Vaughan Dennison, seconded Karen Naylor. The COMMITTEE RESOLVED 1. That the minutes of the Strategy & Finance Committee meeting of 26 February 2025 Part I Public be confirmed as a true and correct record. |
|
|
Clause 19-25 above was carried 12 votes to 0, the voting being as follows: For: The Mayor (Grant Smith) and Councillors Vaughan Dennison, Karen Naylor, Mark Arnott, Brent Barrett, Lew Findlay, Patrick Handcock, Lorna Johnson, Orphée Mickalad, William Wood, Kaydee Zabelin and Billy Meehan. |
The meeting adjourned at 10.06am.
The meeting resumed at 10.22am.
|
20-25 |
Petition: Designation of an on-leash dog area at Linklater Reserve
John Charlton, Chairperson of Kelvin Grove Community Association Inc. (KGCA), Val Burr and Ross Linklater, KGCA members, spoke to the Kelvin Grove Community Association petition to make half of Linklater Reserve on-leash. They supported Option 5 of the Officer’s report (Item 10 - clause 21). They made a PowerPoint presentation and tabled supplementary information (appended to these minutes). A form with an additional 7 signatures to the petition was tabled. Total signatories: 64. |
|
|
Moved Vaughan Dennison, seconded Karen Naylor. The COMMITTEE RESOLVED 1. That the Strategy & Finance Committee receive the Kelvin Grove Community Association petition for information. |
|
|
Clause 20-25 above was carried 12 votes to 0, the voting being as follows: For: The Mayor (Grant Smith) and Councillors Vaughan Dennison, Karen Naylor, Mark Arnott, Brent Barrett, Lew Findlay, Patrick Handcock, Lorna Johnson, Orphée Mickalad, William Wood, Kaydee Zabelin and Billy Meehan. |
|
21-25 |
Options to amend off-leash dog controls at Linklater Reserve Report, presented by Stacey Solomon, Policy Analyst. |
|
|
Moved William Wood, seconded Karen Naylor. The COMMITTEE RESOLVED 1. That the Committee determine that changes are required to the Dog Control Policy and the Dog Control Bylaw to create an on-leash area at Linklater Reserve, and adopt the Statement of Proposal with its preferred Option for consultation with the community. OPTION 5: Change the current controls and make half of Linklater Reserve [up to the aeroplane] on-leash, with half of the Reserve remaining off-leash. The children’s play spaces and equipment continue to be prohibited to dogs entirely. |
|
|
Clause 21-25 above was carried 10 votes to 2, the voting being as follows: For: The Mayor (Grant Smith) and Councillors Vaughan Dennison, Karen Naylor, Mark Arnott, Brent Barrett, Lew Findlay, Patrick Handcock, Orphée Mickalad, William Wood and Billy Meehan. Against: Councillors Lorna Johnson and Kaydee Zabelin. |
|
22-25 |
Committee Work Schedule |
|
|
Moved Vaughan Dennison, seconded Karen Naylor. The COMMITTEE RESOLVED 1. That the Strategy & Finance Committee receive its Work Schedule dated May 2025. |
|
|
Clause 22-25 above was carried 12 votes to 0, the voting being as follows: For: The Mayor (Grant Smith) and Councillors Vaughan Dennison, Karen Naylor, Mark Arnott, Brent Barrett, Lew Findlay, Patrick Handcock, Lorna Johnson, Orphée Mickalad, William Wood, Kaydee Zabelin and Billy Meehan. |
Councillors Mark Arnott and Orphée Mickalad left the meeting at 11.22am.
Exclusion of Public
|
23-25 |
Recommendation to Exclude Public |
||||||||||||
|
|
Moved Vaughan Dennison, seconded Karen Naylor. The COMMITTEE RESOLVED That the public be excluded from the following parts of the proceedings of this meeting listed in the table below. The general subject of each matter to be considered while the public is excluded, the reason for passing this resolution in relation to each matter, and the specific grounds under Section 48(1) of the Local Government Official Information and Meetings Act 1987 for the passing of this resolution are as follows:
This resolution is made in reliance on Section 48(1)(a) of the Local Government Official Information and Meetings Act 1987 and the particular interest or interests protected by Section 6 or Section 7 of that Act which would be prejudiced by the holding of the whole or the relevant part of the proceedings of the meeting in public as stated in the above table. Also that the persons listed below be permitted to remain after the public has been excluded for the reasons stated. Yvonne Evans, Senior Property Consultant and Principal Energy Advisor (The Property Group), because of her knowledge and ability to assist the meeting in speaking to the report and answering questions. |
||||||||||||
|
|
Clause 23-25 above was carried 10 votes to 0, the voting being as follows: For: The Mayor (Grant Smith) and Councillors Vaughan Dennison, Karen Naylor, Brent Barrett, Lew Findlay, Patrick Handcock, Lorna Johnson, William Wood, Kaydee Zabelin and Billy Meehan. |
||||||||||||
The public part of the meeting finished at 11.23am
Confirmed 20 August 2025
Chair

TO: Strategy & Finance Committee
MEETING DATE: 20 August 2025
TITLE: Quarterly Performance and Financial Report – period ending 30 June 2025
Presented By: Scott Mancer, Manager - Finance; John Aitken, Manager - Project Management Office; Grace Nock, Manager - Organisational Planning and Performance
APPROVED BY: Cameron McKay, General Manager Corporate Services
RECOMMENDATION(S) TO COMMITTEE
1. That the Committee receive the report titled ‘Quarterly Performance and Financial Report – period ending 30 June 2025’, and related attachments, presented on 20 August 2025.
2. That the Committee note that $2.4M of prior year capital expenditure relating to planning and design work for Transport projects was written off to expenses in FY2025 due to changing Council and NZTA Waka Kotahi priorities.
3. That the Committee note the overspend in the Transport activities was managed with underspends in other activities of Council.
RECOMMENDATION(S) TO COUNCIL
4. That Council approve the adjustments to carry forward values per the carry forward report in Attachment 5.
5. That Council approve the deferral of $4,330,799 from 2025/26 to 2026/27 for Programme 1895 – Te Motu o Poutoa Development as noted in Attachment 5.
1. ISSUE
To provide an update on the performance and financial achievements of the Council for the period ending 30 June 2025.
2. BACKGROUND
Details of operating, capital and non-financial performance are included in the attached report, with further information provided through the appendices to the report.
3. Activity budget variances
Full details of operating expenditure for activities are available in the appendices to the Quarterly Report, attached.
Overall, Council achieved an activities controllable surplus for the year of $1.9M. However, as noted through previous quarterly reports, we have had some budget pressures across Council. The Transport activities have had some of the larger pressures with contractors and capitalisation of remuneration finishing the year unfavourable to budget. Throughout the year, we have manged to achieve a significant level of work in roading maintenance including street sweeping, patching and line-marking. This has resulted in Transport being over budget for the year in net operating expenditure.
The majority of the other activities have favourable variances which has offset this overspend.
4. Capital expenditure write-offs
As part of an annual review of values included in Council’s capital Work in Progress (WIP), it was identified that as an outcome of both Council re-prioritisation through the Long-Term Plan process, and NZTA Waka Kotahi direction and funding, some amounts being held in WIP for planning and design were for projects that are now unlikely to proceed within an appropriate timeframe to remain categorised as WIP. If these projects were to recommence at a future point in time, the work complete could still be utilised.
However, in line with the accounting standards, project costs totalling $2.4M are required to be expensed in the 2024/25 financial year.
The below table shows the programme (and project) associated with the works written off.
|
Programme |
Project |
Amount |
|
P-1559 - Urban Cycle Infrastructure Network improvements |
Featherston Street (Ruahine to Vogel) Design - Project |
$25,898 |
|
P-201 - Urban Growth - DC - Transport |
Urban Growth - Development Contributions - Transport |
$149,095 |
|
P-2026 - Active Transport Measurement |
City Wide Active Transport Measurement - Project |
$155,065 |
|
P-2119 - Road to Zero - Transport Safety Improvements |
Cook Street Roundabout Upgrades |
$430,505 |
|
Featherston Street Intersections Safety Improvements |
$64,185 |
|
|
Speed Management |
$266,594 |
|
|
P-2122 - CBD Streets for People |
Square and Broadway |
$1,286,949 |
|
Grand Total |
$2,378,291 |
5. NEXT STEPS
The FY2025 results will be audited and the Annual Report will be provided to Council for adoption.
Subject to Council approval, the FY2026 revised budget will be updated to reflect the adjustments to carry forward values and other associated budget changes.
6. Compliance and administration
|
Does the Committee have delegated authority to decide? |
Yes |
|
|
Are the decisions significant? |
No |
|
|
If they are significant do they affect land or a body of water? |
No |
|
|
Can this decision only be made through a 10 Year Plan? |
No |
|
|
Does this decision require consultation through the Special Consultative procedure? |
No |
|
|
Is there funding in the current Annual Plan for these objectives? |
Yes |
|
|
Are the recommendations inconsistent with any of Council’s policies or plans? |
No |
|
|
The recommendations contribute to: Whāinga 1: He
tāone auaha, he tāone tiputipu Whāinga 2: He
tāone whakaihiihi, tapatapahi ana Whāinga 3: He
hapori tūhonohono, he hapori haumaru Whāinga 4: He
tāone toitū, he tāone manawaroa |
||
|
The recommendations contribute to this plan: 14. Mahere mana urungi, kirirarautanga hihiri 14. Governance and Active Citizenship Plan The objective is: To enable Council to exercise governance by reviewing financial performance and operating performance and provide accountability for these to the public. |
||
|
Contribution to strategic direction and to social, economic, environmental and cultural well-being |
As above.
|
|
|
1. |
Council
Dashboard June 2025 ⇩ |
|
|
2. |
Quarterly
Performance and Financial Report June 2025 ⇩ |
|
|
3. |
Quarterly
Performance and Financial Report June 2025 - Appendix 1 Performance Measures ⇩ |
|
|
4. |
Quarterly
Performance and Financial Report June 2025 - Appendices 2-11 ⇩ |
|
|
5. |
2024/25
Carry Forward Report ⇩ |
|
TO: Strategy & Finance Committee
MEETING DATE: 20 August 2025
TITLE: Treasury Report - Twelve months ending 30 June 2025
Presented By: Steve Paterson, Manager - Financial Strategy
APPROVED BY: Cameron McKay, General Manager Corporate Services
RECOMMENDATION TO Strategy & Finance Committee
1. That Council note the performance of Council’s treasury activity for the twelve months ending 30 June 2025.
1. ISSUE
1.1 To provide an update on the Council’s treasury activity for the twelve months ending 30 June 2025.
2. BACKGROUND
2.1 The Council’s Long-term Plan 2024-34 forecast additional debt of $53.3m would need to be raised during the 2024/25 year to fund the $62.4m of new capital expenditure programmes (including assumed carry forwards from 2023/24). On 26 June 2024 Council authorised the Chief Executive to borrow up to an additional $54m for its purposes during 2024/25.
2.2 Council’s Financial Strategy (adopted 26 June 2024) contains the following ratios which the Council has determined to be prudent maxima:
· Net debt as a percentage of total assets not exceeding 20%
· Net debt as a percentage of total revenue not exceeding 250%
· Net interest as a percentage of total revenue not exceeding 15%
· Net interest as a percentage of annual rates income not exceeding 20%
2.3 The Treasury Policy (embracing the Liability Management and Investment Policy), an updated version of which was adopted by the Council on 14 February 2024, also contains a number of other criteria regarding debt management.
3. PERFORMANCE
3.1 On 18 March 2025 S&P Global Rating issued revised credit ratings for a large number of NZ Councils following their reassessment of the local government sector in NZ. The change in their assessment was primarily driven by the increasing burden on Councils to fund infrastructure and the volatility of the policy framework for the structure of local government. The Council’s previous rating of AA (negative) was changed to AA- (stable). This was subsequently re-confirmed on 7 May following S&P’s annual review of the Council. The effect of this lowered credit rating is that there will be a 0.05% increase in the borrowing margin applied to new long-term borrowings raised by the Council.
3.2 Schedule 1 attached shows the details of Council’s debt as at 30 June 2025. Debt levels were within the policy parameters outlined in section 2 of this report.
3.3 The summarised term debt movements are shown in the following table:
|
|
LTP Budget for year #1 (2024/25) $000 |
Actual – 3 months (2024/25) $000 |
Actual – 6 months (2024/25) $000 |
Actual – 9 months (2024/25) $000 |
Actual – 12 months (2024/25) $000 |
|
Debt balance at 1 July 2024: · Core Council debt · Debt on behalf of PNAL
Plus new debt #2 Less debt repayments #2 |
256.1 0
53.3 0 |
267.0 8.0
44.0 (10.8) |
267.0 8.0
44.0 (10.8) |
267.0 8.0
48.2 (10.8) |
267.0 8.0
58.2 (27.9) |
|
Closing gross debt balance Comprising: Bank advance (on call) LGFA stock |
309.4 |
308.2
0 308.2 |
308.2
0 308.2 |
312.4
0 312.4 |
305.3
1.9 303.4 |
|
Less: Deposits held for debt repayment Sum advanced to PN Airport Ltd |
0
0 |
(18.0)
(8.0) |
(18.0)
(8.0) |
(18.0)
(12.0) |
0
(12.0) |
|
Net Council related term debt |
$309.4 |
$282.2 |
$282.2 |
$282.4 |
$293.3 |
#1 The Council’s LTP does not currently include the debt related to PNAL.
#2 A portion of the Council’s debt is drawn on a daily basis – daily drawdowns and repayments are not included in these figures but the net draw or repayment for the year to date is shown as part of new debt or debt repayment as appropriate.
3.4 Gross debt at 30 June 2025 was $305.3m compared with $275m at 1 July 2024.
3.5 The debt raised in the twelve months to 30 June 2025 is explained further in the following table:
|
|
Position as at 1 July 2024 $m |
Position as at 30 June 2025 $m |
Change YTD $m |
|
Gross debt Less portion relating to PNAL |
275.0 (8.0) |
305.3 (12.0) |
30.3 (4.0) |
|
Gross debt relating to Council Less term deposit held to repay maturing debt |
267.0 (6.0) |
293.3 0 |
26.3 6.0 |
|
Net Council related debt |
261.0 |
293.3 |
32.3 |
3.6 This shows net Council related net additional term debt of $32.3 m was raised during the twelve months. This compares with the authorised total sum for the year of $54m mentioned in clause 2.1.
3.7 In addition to deducting any liquid deposits from the gross debt when determining the net debt LGFA also deducts the value of the LGFA borrower notes that the Council is required to invest in each time it borrows from the LGFA. At the present time this investment is required to be 2.5% of the sum borrowed. For example, it means that if the Council borrows $10m it receives $9.5m in cash and $0.5m as an investment in notes. The notes have the same maturity date as the underlying borrowing and interest is paid to the Council on maturity at the borrowing rate less 0.2%.
3.8 The net debt after deducting the value of borrower notes is shown in the following table:
|
|
Position as at 1 July 2024 $m |
Position as at 30 June 2025 $m |
|
Net Council related debt (as above) |
261.0 |
293.3 |
|
Value of Council investment in LGFA borrower notes |
6.7 |
9.5 |
|
Net Council related debt after deducting value of borrower notes |
254.3 |
283.8 |
3.9 A 10-year history of the gross & net debt is shown in the following graph:

3.10 Actual finance costs incurred by the Council depend on the actual debt levels and the interest rate. During the twelve months gross finance costs (including interest, line fees and the effects of payments relating to swaps) amounted to $13.13m compared with the budget for the year of $14.52m.
3.11 The net finance cost (after considering the interest income from term investments and the advance to Palmerston North Airport Ltd) is $10.89m compared with the budget for the year of $14.16m.
3.12 The effective weighted average interest rate for the year is 4.3% compared with the budgetary assumption of 5%.
3.13 The Council has entered financial instruments related to its debt portfolio utilising swap trading lines established with Westpac, ANZ and BNZ. The details of these are shown in Schedule 2 attached.
The value of these instruments is measured in terms of its ‘mark-to-market’, i.e. the difference between the value at which the interest rate was fixed and the current market value of the transaction. Each of these transactions was valued at the date they were fixed and again at the reporting date. Financial reporting standards require the movement in values to be recorded through the Council’s Statement of Comprehensive Income (Profit & Loss Account). They have been revalued as at 30 June 2025. The latest valuation is an asset of $1.02m compared with an asset of $9.35m as at 30 June 2024. The reduction in asset value of $8.33m is a consequence of reducing market interest rates.
3.14 The Council’s Treasury Policy contains guidelines regarding the measurement of treasury risk as follows:
· Funding and liquidity risk is managed by the Council maintaining a pre-set portion of its debt in a range of maturity periods, e.g. < 3 years, 3 - 7 years, 7 years +.
· Interest rate risk is managed by the Council maintaining the ratio of debt that is subject to floating versus fixed interest rates within pre-set limits.
3.15 The position compared to the policy is illustrated in the graphs in Schedule 3 attached.
3.16 The funding and liquidity risk position can be summarised as follows:
· Council’s liquid position complies with policy.
· Since 1 July 2024 $58.2m of term debt has been raised and $2.9m of bank debt and $25m of term debt has been repaid.
3.17 The interest rate risk position describes the portion of the overall forecast debt that is fixed versus floating and can be summarised as follows:
· There is significant uncertainty about forecast levels of future debt – this very much depends on a number of factors including future Council decisions on the proposed capital expenditure programme, the future structure for the provision of three waters and the extent of external funding able to be organised from other arrangements.
· Policy compliance at 30 June 2025 is based on the debt forecasts in the adopted Long-term Plan updated by the 2025/26 Annual Budget.
3.18 The Treasury Policy also contains requirements in relation to counterparty credit risk – this relates to investments and financial risk management instruments. Three new forward start swap agreements have been entered over the twelve-month period:
· on 12 July fixing interest rates for $20m at 3.695% from 2025 to 2030,
· on 22 November fixing interest rates for $15m at 3.725% from 2024 to 2026,
· on 25 March fixing interest rates for $20m at 3.825% from 2025 to 2030.
The position as at 30 June 2025 is shown in Schedule 4 attached.
3.19 Council’s credit lines with the banks include a $20m three-year credit facility with Westpac Bank (maturing 31 October 2028) and a revolving $25m three-year facility with ANZ Bank (maturing 31 March 2028). In March a new revolving 15 month $10m standby line was arranged with LGFA.
4. CONCLUSION AND NEXT STEPS
4.1 Gross finance costs for the twelve months to 30 June (including interest, line fees and the effect of swaps) was $13.13m compared with budget for the year of $14.52m. The net finance cost (after considering the interest income from term investments and the advance to Palmerston North Airport Ltd) is $10.89m compared with the budget for the year of $14.16m.
4.2 In conjunction with Council’s treasury advisors hedging instruments are regularly reviewed in an effort to ensure the instruments are being utilised to best advantage as market conditions change. The level of hedging cover is also reviewed as the forecasts of future debt levels are revised.
4.3 Council’s borrowing strategy is continually reviewed, in conjunction with Council’s treasury advisors, to ensure best advantage is taken of Council’s quality credit rating.
4.4 A further performance report will be provided after the September 2025 quarter.
5. Compliance and administration
|
Does the Committee have delegated authority to decide? |
Yes |
|
|
Are the decisions significant? |
No |
|
|
If they are significant do they affect land or a body of water? |
No |
|
|
Can this decision only be made through a 10 Year Plan? |
No |
|
|
Does this decision require consultation through the Special Consultative procedure? |
No |
|
|
Is there funding in the current Annual Plan for these objectives? |
Yes |
|
|
Are the recommendations inconsistent with any of Council’s policies or plans? |
No |
|
|
The recommendations contribute to: Not Applicable |
||
|
The recommendations contribute to this plan: 14. Mahere mana urungi, kirirarautanga hihiri 14. Governance and Active Citizenship Plan The objective is: To enable the Council to exercise governance by reviewing and monitoring Council’s treasury performance. |
||
|
Contribution to strategic direction and to social, economic, environmental and cultural well-being |
Managing the Council’s treasury activity is a fundamental component of day to day administration of the Council. |
|
|
1. |
Schedules
1 to 4 ⇩ |
|
TO: Strategy & Finance Committee
MEETING DATE: 20 August 2025
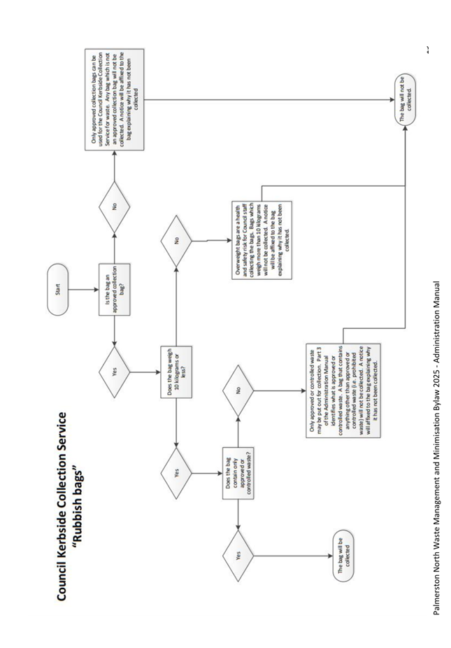
TITLE: Draft Waste Management and Minimisation Bylaw 2025 - deliberations on submissions
Presented By: Peter Ridge, Acting Manager Strategy and Policy
APPROVED BY: David Murphy, General Manager Strategic Planning
1. That Council confirm, pursuant to s.155 of the Local Government Act 2002, Council has determined that:
a. a bylaw is the most appropriate way of addressing the perceived problems of maximising the diversion of waste to beneficial uses; regulating and managing the operation of kerbside waste and recycling collection activities; and minimising the potential for waste to create a nuisance in public places; and
b. a standalone bylaw is the most appropriate form of bylaw; and
c. the Palmerston North Waste Management and Minimisation Bylaw 2025 does not give rise to any implications under the New Zealand Bill of Rights Act 1990.
2. That Council adopt the Palmerston North Waste Management and Minimisation Bylaw 2025 and the Palmerston North Waste Management and Minimisation Bylaw Administration Manual 2025 (as shown in Attachments 2 and 3 respectively) which will come into effect on 1 October 2025.
1. Key Points In this Report
· We have completed the consultation process for the draft Waste Management and Minimisation Bylaw and Administration Manual.
· We received 20 written submissions and 47 comments on our social media posts. The points made by submitters and commenters are analysed in Attachment 1.
· We recommend that Council adopts the Bylaw and Administration Manual, including the amendments recommended as a result of consultation.
2. ISSUE
2.1 The Council has received 20 written submissions and three oral submissions on the draft Waste Management and Minimisation Bylaw (the Bylaw).
2.2 This memorandum provides analysis of the issues raised in the written and oral submissions. Staff have made recommendations for changes to the draft Bylaw as a result of the consultation process and recommend that the Council adopt the Bylaw and Administration Manual as amended (Attachments 2 and 3).
3. BACKGROUND
3.1 On 13 November 2024, the Committee approved[1] the draft Waste Management and Minimisation Bylaw for public consultation. The written submission period was open from 30 November 2024 until 24 January 2025. The Council received 20 written submissions during this time. The submissions are available on the Council’s website.
3.2 The consultation webpage[2] outlined the significant proposed changes to the Bylaw. An online form gave submitters the opportunity to indicate if they supported, opposed, or were not sure about these proposed changes, with space to provide comments about those proposed changes. The form also invited submitters to provide general comments about any other proposed changes to the Bylaw.
3.3 On 26 February 2025, the Strategy & Finance Committee heard from three submitters.
3.4 We received 47 comments from commenters on social media posts during the consultation period. Screenshots of the comments were included in the report presented to the Strategy & Finance Committee on 26 February 2025.[3]
4. Analysis of issues raised by submitters
4.1 A full analysis of the issues raised by submitters, and commenters on social media, is provided in Attachment 1. As a result of this analysis we recommend several further changes to the draft Waste Management and Minimisation Bylaw and Administration Manual.
Licensing waste and diverted material collectors
4.2 The original proposal was to strengthen the existing provisions by including conditions about the type and size of container that collectors could use, and the days and times they could operate.
4.3 We recommend one minor change to this proposal, to make it clear that these conditions apply to residential collection services only rather than services offered to commercial or industrial customers. This is because the provisions we proposed were intended to address the higher proportions of recyclable materials found in larger waste bins in residential collection services. Our waste assessment found that smaller bins tended to have smaller proportions of recyclable material in waste bins. However, this correlation doesn’t necessarily apply to commercial or industrial customers. Therefore we recommend amending condition 10(a) in Part 5 of the Administration Manual to clarify that it applies to residential collection services only.
Construction and demolition waste
4.4 The consultation document included a proposal to include the ability for Council to pass a resolution requiring site waste management and minimisation plans as part of the building consent process, for projects over a designated value. The purpose was to address the large volume of construction and demolition waste going to landfill, by targeting significant construction projects to improve practice.
4.5 While there was general support for this proposal, submitters identified several limitations with this proposal. Firstly, it would not include demolition-only projects which are exempt from building consent requirements under the Building Act 2004. This means that the proposal could only address projects that involved construction or construction and demolition. This would limit the effectiveness of the proposal.
4.6 Secondly, Council does not have the ability to withhold issuing a building consent because the applicant did not supply additional information unrelated to the processing of the consent. For instance, we are unable to require applicants to include the amount of waste expected to be generated by the activity or require that a waste management and minimisation plan for construction and demolition waste is submitted for approval. If we are unable to require this information, or we are unable to withhold the building consent because the applicant has not supplied this information (or we do not approve their waste management and minimisation plan), then the effectiveness of this approach would be severely limited. This has been confirmed by discussions with other councils that have attempted to introduce a similar approach.
4.7 We considered two alternatives to the proposal as a result of the points raised by submitters. The first alternative was to include the same information requirements in the Bylaw, but not associate them with a building consent application. However, there are significant limitations to this approach. We would need to continuously monitor building and demolition projects, and initiate a separate process for each project to submit the information necessary for Council to determine whether a site waste management and minimisation plan was required. We would require the person responsible for the project to submit a site waste management and minimisation plan for approval. However, if the plan was not submitted, or not approved, or not followed once approved, then the only means by which Council could enforce compliance would be to prosecute for a breach of the bylaw. This is unlikely to be a cost-effective approach to achieve compliance.
4.8 The second alternative we considered is used by Hastings District Council. They work with trade suppliers and the building sector to raise awareness of construction and demolition waste facilities and remove barriers to diverting waste. One example is the provision of collection bags for plaster board offcuts, which are then collected by the construction and demolition waste facility for recycling. While the project is in its early stages, it provides a useful template for a collaborative approach that uses education and practical interventions to achieve waste diversion outcomes.
4.9 We recommend that Part Five Construction and Demolition Waste and clause 13 Construction and Demolition Waste Management and Minimisation Plans are deleted from the Bylaw. In its place, staff will work to develop a programme with local material suppliers, the construction and demolition sector, and waste facility providers to develop information, guidance and initiatives to divert construction and demolition waste from landfill.
Events waste management and minimisation
4.10 The consultation document included a proposal to include stronger language around the requirements for events waste management by event managers. Most submitters were supportive of these changes, but two additional changes were suggested which we recommend Council includes.
4.11 Firstly, submitters suggested that the rate of contamination should also be reported alongside the types and quantities of waste and recyclable materials. We agree, as this will help us to understand whether recycling at events is effective.
4.12 Secondly, we agree that Council’s event venues should also meet the same standards that we are setting for event managers using Council land or Council funding. Our major event venues such as CET Arena and the Conference and Function Centre are already meeting most of these requirements, and should be able to meet the standards set out in the Administration Manual without much difficulty. Council’s venues and events team are well placed to work with groups booking these spaces to ensure that waste minimisation efforts are effective.
4.13 For our smaller event venues such as the community centres, which are managed by volunteer-run management committees, a more practical approach would be for our Community Development Team to work with user groups to educate them about waste minimisation. Where appropriate, they can provide support and guidance to these groups to help divert waste from landfill from these smaller events.
Other minor changes
4.14 Submitters also made suggestions for a number of minor wording changes and corrections that clarify or improve the readability of the Bylaw and Administration Manual. For instance, the phrase ‘diverted material’ refers to material which has been diverted from landfill. However, in most cases, it is more correct to refer to ‘divertible material’ as material which can be diverted from landfill. We have made this change throughout the Bylaw and Administration Manual, along with similar minor changes.
4.15 All
changes to the Bylaw and Administration Manual are shown as tracked
changes. Additions are underlined while deletions are shown as struck-through
text.
5. Description of Options
5.1 There are two options for the Committee to consider:
5.1.1 Option 1: recommend to Council that they adopt the Waste Management and Minimisation Bylaw and Administration Manual.
5.1.2 Option 2: do not recommend to Council that they adopt the Waste Management and Minimisation Bylaw and Administration Manual.
6. Analysis of Options
6.1 Option 1 – that the Council adopt the Waste Management and Minimisation Bylaw and Administration Manual – is recommended.
6.2 Council has consulted the community on the proposed changes to the Bylaw and Administration Manual. There was generally strong support for the proposals, along with additional suggested changes. As shown in Attachment 1, and summarised in section 4 of this report, we have recommended some further changes to the Bylaw and Administration Manual to have regard to the points made by submitters.
6.3 Option 2 – that the Council does not adopt the Waste Management and Minimisation Bylaw and Administration Manual – is not recommended. The consultation process has not shown significant opposition or concerns with the scope of the proposed changes. Choosing not to adopt the Bylaw and Administration Manual would leave the existing Waste Management and Minimisation Bylaw in place, but without the changes and improvements we have recommended and consulted on.
7. Conclusion
7.1 The consultation process on the draft Waste Management and Minimisation Bylaw and Administration Manual has been useful. It shows broad general support for the changes that Council proposed, along with additional changes and improvements.
7.2 We have analysed the submissions and considered the arguments both for and against the changes that Council has proposed, as well as the additional changes suggested by submitters. Based on this analysis, we recommend that Council adopts the Waste Management and Minimisation Bylaw and Administration Manual with the changes as indicated in Attachments 2 and 3.
8. Next Actions
8.1 If adopted by Council on 3 September 2025, the Bylaw and Administration Manual will come into effect on 1 October 2025. The Waste Management and Minimisation Bylaw 2016 and Administration Manual 2016 will be revoked when the new Bylaw and Administration Manual comes into effect.
8.2 We will place public notices to notify that the new Bylaw and Administration Manual has been adopted, and when it will come into effect. We will publish the new Bylaw and Administration Manual to Council’s website and make copies available in the Customer Service Centre.
8.3 We will contact submitters and advise them of Council’s decisions in respect of the issues raised during consultation.
9. Compliance and administration
|
Does the Committee have delegated authority to decide? |
No |
|
|
Are the decisions significant? |
No |
|
|
If they are significant do they affect land or a body of water? |
No |
|
|
Can this decision only be made through a 10 Year Plan? |
No |
|
|
Does this decision require consultation through the Special Consultative procedure? |
No |
|
|
Is there funding in the current Annual Plan for these objectives? |
Yes |
|
|
Are the recommendations inconsistent with any of Council’s policies or plans? |
No |
|
|
The recommendations contribute
to: Whāinga 4: He tāone toitū, he tāone
manawaroa |
||
|
The recommendations contribute to this plan: 12. Mahere taumanu para 12. Resource Recovery Plan The objective is: Provide waste collection services, including kerbside collection, the Ashhurst Transfer Station, and public space rubbish bins; provide recycling collection services, including kerbside recycling, drop-off centres and public space recycling bins; promote waste reduction; divert waste from landfill. |
||
|
Contribution to strategic direction and to social, economic, environmental and cultural well-being |
The Waste Management and Minimisation Bylaw supports almost all of the objectives of Mahere taumanu para/Resource Recovery Plan. It provides the regulatory basis for implementing the range of waste management and minimisation activities that Council delivers. Revisions that bring improvements to the Bylaw and Administration Manual help Council to achieve its objectives in the resource recovery activity. |
|
|
1. |
Analysis
of Waste Management and Minimisation Bylaw Submissions ⇩ |
|
|
2. |
Draft
Waste Management and Minimisation Bylaw 2025 ⇩ |
|
|
3. |
Draft
Waste Management and Minimisation Bylaw 2025 Administration Manual ⇩ |
|
TO: Strategy & Finance Committee
MEETING DATE: 20 August 2025
TITLE: Draft Speed Management Plan 2025 - Approval for Consultation
PRESENTED BY: Peter Ridge, Acting Manager Strategy and Policy
APPROVED BY: David Murphy, General Manager Strategic Planning
RECOMMENDATION(S) TO Strategy & Finance Committee
1. That the Committee approve for public consultation the draft Speed Management Plan 2025 (as shown in Attachment 1).
key points in this REPORT
· We have developed a draft Speed Management Plan in line with the scope set by the Committee in May 2025.
· We recommend that the Committee approve the draft Speed Management Plan for public consultation after the election.
· If approved, public consultation will be for a six-week period from 1 November to 15 December 2025.
Summary of options analysis for
|
Problem or Opportunity |
The Council is required to implement variable speed limits for the roads outside the school gate. These changes have to be made by 1 July 2026. In addition to these mandatory changes, there are two other urgent changes which we are proposing to make at the same time – an intersection speed zone (ISZ) on Longburn-Rongotea Road, and reducing the speed limit on Te Wanaka Road to 50km/h to support the Kikiwhenua residential area. Alongside the proposed speed limit change for Te Wanaka Road, NZTA is also proposing to create an intersection speed zone at the intersection of SH56 and Te Wanaka Road, that will also support the Kikiwhenua residential area. |
|
OPTION 1: |
Approve the draft Speed Management Plan 2025 for public consultation (recommended) |
|
Community Views |
We consulted the community on similar proposals in 2023. The requirements for variable speed limits around schools have changed since then. It is appropriate to understand the community’s views on the current proposals, especially the extent of the variable speed limit zone for each school, and the choice of electronic or static signage. We contacted all schools in Palmerston North to share the initial proposed variable speed limits for their school. We have used their responses to help refine the proposals for inclusion in the draft Speed Management Plan. |
|
Benefits |
Consulting with the community about these proposals will provide the Council with useful feedback about the specific details of these proposals. |
|
Risks |
There are no significant risks identified. |
|
Financial |
The cost of consultation will be met from within existing budgets. The cost of implementation is programmed into existing budgets. NZTA will be subsidising the cost of implementing variable speed limits for schools, but the full value of that subsidy is not yet known. The cost to implement the ISZ for Longburn-Rongotea Road and the speed limit reduction for Te Wanaka Road is included within existing budgets. While NZTA are responsible for creating the ISZ for SH56 (as they are the road controlling authority) we have included the cost to implement the ISZ in our existing budgets, as a condition of the resource consent for Kikiwhenua. |
|
OPTION 2: |
Do not approve the draft Speed Management Plan 2025 for public consultation |
|
Community Views |
We contacted all schools in Palmerston North to share the initial proposed variable speed limits for their school. None of the schools we contacted expressed the view that these proposals should not be consulted on by the Council. We have not undertaken any early engagement on the proposals for Longburn-Rongotea Road or Te Wanaka Road. |
|
Benefits |
There are no identified benefits to this option. |
|
Risks |
The Council is not required by the Speed Limits Rule to consult on implementing variable speed limits for schools. However, we are required by the Local Government Act 2002 to ensure that we have understood community views before making any decision. If the Council does not approve the draft Speed Management Plan for consultation, then it may not be compliant with the Local Government Act 2002. The Council is required to consult with the community before it can make the proposed speed limit changes for Longburn-Rongotea Road and Te Wanaka Road. If these changes are not made then these intersections will continue to be unsafe. The intersection of Longburn-Rongotea Road/Number 1 Line is a known accident blackspot. While Te Wanaka Road is not a current safety risk, lowering the speed limit on Te Wanaka Road and supporting NZTA to implement the intersection speed zone on SH56 will enable the planned urban growth to proceed and establish the environment as an urban area. Leaving the higher speed limit in place will require properties to be set further back from the street, limit the number of sections that can be developed, and will leave a high speed limit in place when the roadside is developed to urban standards. |
|
Financial |
There are no particular financial implications for this option. Council would not incur the costs associated with consultation, and would not incur the implementation costs associated with the proposed speed limit changes. |
Rationale for the recommendations
1. Overview of the problem or opportunity
1.1 The Council is required to create variable speed limits[4] around the entrances of each school within its district by 1 July 2026. This requirement comes from the Land Transport: Setting of Speed Limits Rule 2024[5].
1.2 Variable speed limits are set by making and consulting on a speed management plan (SMP).
1.3 In addition to the mandatory requirement to introduce variable speed limits for all schools, we have identified two urgent speed limit changes to include in the draft Speed Management Plan for consultation:
· An intersection speed zone (ISZ) on Longburn-Rongotea Road/Number 1 Line, to address the safety concerns with this intersection.
· Lowering the speed limit on Te Wanaka Road to 50km/h, to support the development of the Kiwkiwhenua residential area.
2. Background and previous council decisions
2.1 The Council developed and consulted on a draft interim speed management plan for variable speed limits around schools in 2023. We also consulted on a draft full speed management plan that included proposals to implement an intersection speed zone for Longburn-Rongotea Road/Number 1 Line, and a lower speed limit for Te Wanaka Road. However, that work was halted by the Council following the general election in November 2023 when it was announced that the incoming Government planned to reverse the outgoing government’s speed limit requirements.
2.2 In September 2024 NZTA published a revised Speed Limits Rule that removed previous requirements for lower speed limits around schools and imposed a new requirement to install 30km/h variable speed limits for a fixed distance outside the school gate. These variable speed limits are required to be in place by 1 July 2026 (or best practical efforts).
2.3 In May 2025, the Committee received a memo that outlined the proposed scope for a draft speed management plan. The Committee recommended, and the Council confirmed, that the scope of the draft SMP will include:
· variable speed limits for all schools within Palmerston North; and
· Te Wanaka Road/SH56 intersection; and
· An intersection speed zone (ISZ) for Longburn-Rongotea Road/Number 1 Line.
3. Description of options
3.1 The draft Speed Management Plan (Attachment 1) includes the following proposed speed limit changes:
· A variable speed limit of 30km/h for all schools within Palmerston North;
· Reducing the speed limit from 70km/h to 50km/h for Te Wanaka Road;
· Creating an intersection speed zone (ISZ) of 70km/h on Longburn-Rongotea Road at the intersection with Number 1 Line. The 70km/h speed limit will apply when traffic is waiting to enter or leave the intersection. At all other times, the speed limit on Longburn-Rongotea Road will be 100km/h.
3.2 There are two main options for the Committee to consider:
Option 1: Approve the draft Speed Management Plan 2025 for public consultation
3.3 This option would enable staff to consult the community on the proposed speed limit changes and take the community’s views into consideration when providing advice to Council for making a final decision.
Option 2: Do not approve the draft Speed Management Plan 2025 for public consultation
3.4 This option would halt the process until further direction is provided by Elected Members.
3.5 This option would be selected by the Committee if it did not agree with the proposed changes set out in the draft Speed Management Plan 2025, and either did not want to proceed with the speed limit changes or wanted to consider different proposals instead.
4. Analysis of options
4.1 This analysis of options considers the benefits and disadvantages of each option as set out in section 3 above. It does not include discussion of the specific speed limit changes being proposed in the draft Speed Management Plan.
Option 1: Approve the draft Speed Management Plan 2025 for public consultation
4.2 There are several benefits for option 1. It allows the community to make its views known to Elected Members, so that those views can be considered as part of the Council’s decision-making process. While the Speed Limits Rule does not require public consultation when proposing to create variable speed limits for roads ‘outside the school gate’, the Council is still required by the Local Government Act 2002 to ensure it understands the community’s views. This consultation exercise will give the Council confidence that it understands the community’s views about these proposed speed limit changes. In particular, consultation can help us to identify improvements or correct mistakes in our proposed changes, so that we can improve the advice given to Elected Members.
4.3 There is one disadvantage to consultation, specifically on the proposed variable speed limits for schools: the community may be frustrated by the limited scope for decision-making. For instance, it is mandatory to implement variable speed limits of 30km/h outside the school gate, and there is no ability to instead propose permanent speed limits, or to include streets other than those outside a school gate. Submitters may suggest changes which the Council is unable to make, and this may be frustrating for submitters.
4.4 However, this disadvantage can be mitigated by clearly communicating the areas in which the Council is able to make changes. For instance, the length of the variable speed limit zone is around 300m, but it can be extended or reduced as appropriate to reflect the surrounding environment. There is also scope to decide whether electronic or static signage should be used in different locations.
Option 2: Do not approve the draft Speed Management Plan 2025 for public consultation
4.5 If the Committee did not agree with the proposed changes set out in the draft Speed Management Plan 2025, then there are advantages to option 2. It would halt the process and give the Committee the opportunity to request that staff develop different proposals.
4.6 However, there are several disadvantages with this option. In particular, there may be insufficient time to complete revised proposals for the Council to consider before the election. This may require any revised proposals to be considered by the incoming Council. If revised proposals were not considered by the Council until early in 2026 it is unlikely that the consultation process could be completed before 1 July 2026. This is the deadline for the implementation of variable speed limits for schools, as set out in the Speed Limits Rule.
4.7 A delay to proceeding with consultation will further delay the other proposed changes in the draft Speed Management Plan. In the case of Longburn-Rongotea Road/Number 1 Line, the intersection is a known accident blackspot. Delaying the consultation may delay when the intersection speed zone could be installed and prolong the safety concerns with this intersection. In the case of Te Wanaka Road, it may push back the development of the Kikiwhenua residential area or limit the number of sections which can be accessed.
5. Conclusion
5.1 The recommendation is that the Committee approve the draft Speed Management Plan 2025 for public consultation. This will provide the opportunity to seek the community’s views on these proposed speed limit changes before a final decision is made. The disadvantage to consultation – limited scope for further change in the case of variable speed limits around schools – can be mitigated by clear communication throughout the consultation process.
5.2 Option 2 – not approving the draft Speed Management Plan 2025 for public consultation – is not recommended. There is no particular advantage to this option, unless the Committee has significant concerns with the specific details of the proposals in the draft Speed Management Plan.
6. Next actions
6.1 We will begin consultation on the draft Speed Management Plan 2025 after the election. The written submission period will open on 1 November and close on 15 December 2025. This provides the statutory six-week consultation period as required by the Speed Limits Rule.
7. Outline of community engagement process
7.1 A consultation plan has been developed and will be implemented. Consultation will include:
· Making the consultation document widely available;
· Direct contact with partners and identified stakeholders and interested groups and organisations. In particular, we will engage with schools about the specific proposal for each school;
· Discussion of the draft Speed Management Plan with our iwi and mana whenua partners;
· A community drop-in session may be held to give the community a chance to learn more about the proposals, ask questions, and receive assistance to make a submission.
7.2 Following the written submission period, we expect to hold hearings of oral submissions in early 2026. A report with advice on the issues raised by submitters will be presented to the appropriate committee following the hearings, with recommendations for decisions about the proposed speed limit changes.
7.3 Longburn-Rongotea Road/Number 1 Line, and Kairanga-Bunnythorpe Road by Kairanga School, are boundary roads, shared with Manawatū District Council (MDC). Any speed limit changes to these roads need to be made in conjunction with MDC. We have already engaged with staff at MDC to ensure our proposals for these roads are aligned.
7.4 MDC have indicated that they expect to begin consultation on their proposed speed limit changes before the end of 2025. When the details of the consultation are available, we will add this information to our consultation document and include a link on our website.
7.5 When we have both completed our consultation processes, we will share our findings. These findings will then be used to inform our recommendation on the proposed speed limit changes for these two roads. The implementation of the final speed limit changes will be dependent on both PN City Council and MDC making a consistent decision for these proposals.
7.6 Alongside our proposal to lower the speed limit on Te Wanaka Road to 50km/h, NZTA is proposing to create an ISZ at the intersection of SH56 and Te Wanaka Road. A lower speed limit on SH56 at this intersection is a condition of the resource consent for the Kikiwhenua residential area. In discussions with NZTA, we reached an agreement for NZTA (as the road controlling authority for SH56) to create the ISZ, with PN City Council providing the funding for the installation of the necessary equipment. NZTA will be carrying out the consultation for the ISZ on SH56 later in 2025. When the details of the consultation are available, we will add this information to our consultation document and include a link on our website.
8. Compliance and administration
|
Does the Committee have delegated authority to decide? If Yes quote relevant clause(s) from Delegations Manual - Section 4.6 |
Yes |
|
|
Are the decisions significant? |
No |
|
|
If they are significant do they affect land or a body of water? |
No |
|
|
Can this decision only be made through a 10 Year Plan? |
No |
|
|
Does this decision require consultation through the Special Consultative procedure? |
No |
|
|
Is there funding in the current Annual Plan for these objectives? |
Yes |
|
|
Are the recommendations inconsistent with any of Council’s policies or plans? |
No |
|
|
The recommendations
contribute to: Whāinga 1: He tāone auaha, he tāone
tiputipu |
||
|
The recommendations contribute to this plan: 3. Mahere tūnuku 3. Transport Plan The objective is: Provide a safe, low-carbon, integrated and multi-modal transport network. |
||
|
Contribution to strategic direction and to social, economic, environmental and cultural well-being |
Safe speed limits are a key part of managing the city’s transport network, for the benefit of all road users. Consulting on the draft Speed Management Plan will ensure that the Council understands the community’s views about these proposed changes before making a final decision in 2026. |
|
|
1. |
Draft
Palmerston North Speed Management Plan 2025 ⇩ |
|
Committee Work Schedule
TO: Strategy & Finance Committee
MEETING DATE: 20 August 2025
TITLE: Committee Work Schedule
RECOMMENDATION TO Strategy & Finance Committee
1. That the Strategy & Finance Committee receive its Work Schedule dated August 2025.
|
COMMITTEE WORK SCHEDULE – AUGUST 2025 |
|||||
|
Item No. |
Estimated Report Date |
Subject |
Officer Responsible |
Current Position |
Date of Instruction |
|
|
|
|
|
||
|
|
|
|
|
|
|
|
|
|
|
|
|
|
|
|
|
|
|
|
|
|
|
|
|
|
|
|
|
|
|
|
|
|
|
|
|
|
|
|
|
|
|
February 2026 |
Public Spaces: approval to consult on draft policy and bylaw |
General Manager Strategic Planning |
Single report with Draft Bylaw and Policy to be presented after the election |
|
|
|
9. |
February 2026 |
Vegetation Framework to include a Tree Policy focused on Council administered streets and public spaces |
General Manager Strategic Planning |
Delayed due to prioritisation of growth related planning work |
Committee of Council 9 June 2021 |
[2]
https://www.pncc.govt.nz/Participate-Palmy/Have-your-say/Waste-Management-and-Minimisation-Bylaw-consultation
[4] A variable speed limit is a speed limit where the ordinary speed limit is lowered for a set period of time (for instance, at the beginning or end of the school day) or when certain other conditions are met (for instance, in an Intersection Speed Zone (ISZ) when traffic is waiting at the side streets to the main street). The ordinary speed limit applies at all other times.